Thinking of choosing retractable seating? Here’s a reference guide showing you how to measure up your space and make an approximate calculation of your potential seating capacity.
Before we begin, we do want to emphasise that this is a rough guide only. We do highly recommend that you speak to us to get a more accurate estimation. Our design service is free of charge, and we may be able to suggest some tricks to help you optimise your capacity further.
The information below is for a very standard retractable seating system in a standard space. Again – if you have an unusually shaped space, just get in touch! We will find a seating solution that really makes the most of it.
Please note that our Dimensions and Capacity Guide is also available as a downloadable pdf.
1. Understand the measurements of a retractable seating system
The drawing below shows some of the key dimensions of a retractable seating system.
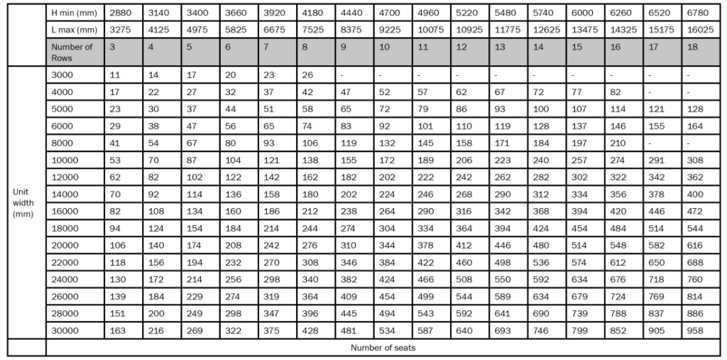
Overall Extended Length (L) –The overall length of the seating is (Number of Rows)*(Row Depth) plus two small but important additions. At the rear, we allow an extra 300mm to accommodate the structure. At the front, there is a half step in front of each aisle. Its depth is 0.5 * Row Depth.
Unit Height (h) – The overall unit height is (Number of Rows)*(Row Rise) + 170mm. 170mm is the height of the small platform at the rear.
Minimum Room Height (H) – The minimum room height is (Number of Rows)*(Row Rise) +2100mm. We allow 2100mm standing height between the last full platform and the ceiling.

2. Understand our assumptions
In order to create the below table, we made some assumptions about the specification of your retractable seating.
Row Depth (R/D) = 850mm – Row depth is is the distance from the “nose” of one row to the nose of the row behind. 850mm is the minimum we recommend for comfort. In a high specification environment, you may well choose deeper rows. Other row depths available as standard are 800mm, 900mm, 950mm and 1000mm. For benches, the row depth can be 650mm.
Row Rise (R/R) = 260mm – As standard, we offer row rises at 20mm intervals from 260mm-360mm. The vast majority of our chairs will a 260mm row rise, although a few, including Recital and Espace T, do require a slightly higher row rise of 280mm. Some venues will also benefit from a higher row rise to achieve optimum sightlines.
Chair Width = 500mm – This is a fairly standard and comfortable chair width. Our chairs are available in various widths however – please check individual chair datasheets for details. We may be able to work with you to vary chair widths if capacity is a priority.
Aisles – For units up to 12m wide, we have included one aisle in our calculations. Those above 12m include two aisles.
3. Measure the width, height and length of space available to accommodate the seating
Make sure you take into account doorways, balconies and other obstructions and also consider access and egress – how and from where will your audience access the seating block? Do you need to leave space for a walkway to the side?
4. Use the table below to read off the maximum capacity available for your measured dimensions

5. Give us a call!
So you think retractable seating will work for you? Get in touch to discuss the specifics. And if you think it’s not going to work, you should also give us a call. We may well have an alternative solution that will suit your space better.